




華南植物園在優勢樹種對喀斯特生境的適應性研究取得進展
喀斯特森林是分布在以碳酸鹽巖類巖石和富含Ca2+、Mg2+的鈣質土之上的植被生態系統,具有土層薄,土體不連續,保水能力弱、抵御外界干擾閾值低的特點。同時,我國西南喀斯特森林因小生境多樣性、復雜性和異質性,植物呈現高度多樣性和特有種豐富的特征。在我國西南喀斯特和非喀斯特森林,有諸多共有種均為森林的優勢種。因此,對比研究喀斯特與非喀斯特森林共有優勢樹種葉片功能性狀的差異及其內在關聯性,可為揭示植物對喀斯特生境的適應機制及石漠化植被恢復實踐提供科學依據。
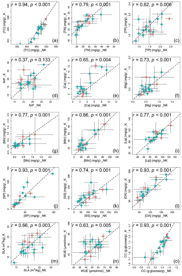
中科院華南植物園生態與環境研究中心博士研究生湯松波在曠遠文研究員的指導下,測定了貴州省喀斯特和非喀斯特森林18個優勢種15個葉片功能性狀并構建了2種生境下不同功能性狀之間的關聯性。研究發現,15個葉片功能性狀在喀斯特和非喀斯特生境下同時具有種間和種內的異質性和均質性特征,生境條件決定了優勢樹種葉片不同功能性狀之間的關聯性(圖1),優勢樹種能通過在葉片中直接積累Ca并間接提高有機酸和礦物質含量、顯著降低葉片構建成本的策略適應喀斯特生境(圖2)。
相關研究結果于近日發表在國際學術期刊Ecology and Evolution。該研究得到國家重大科學研究計劃項目和中國科學院青年創新促進會的資助。
論文鏈接:https://doi.org/10.1002/ece3.7832

圖1. 優勢樹種葉片功能性狀在喀斯特(K)和非喀斯特(NK)生境中的關聯性。

圖2. 優勢樹種通過提高葉片Ca含量并影響葉片有機酸(OA),礦物質(Min)和葉片構建成本(CC)來適應喀斯特生境。