




珍稀瀕危植物龍州金花茶的生存現狀及保護策略研究取得進展
龍州金花茶(Camellia longzhouensis J.Y. Luo)是山茶科(Theaceae)的常綠灌木或小喬木(圖1)。因其僅分布于廣西龍州且花金黃色而得名,是世界名貴觀賞植物,有“植物界大熊貓”和“茶族皇后”的美譽。龍州金花茶是中國特有種、國家II級保護植物。其花可供觀賞也可制成保健型茶飲,兼具瀕危性、經濟價值、特有性,具有很高的科研價值。2015年,世界自然保護聯盟(International Union for Conservation of Nature,IUCN)將龍州金花茶評估為瀕危等級,指出龍州金花茶正面臨棲息地退化威脅。
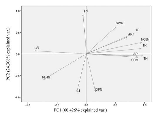
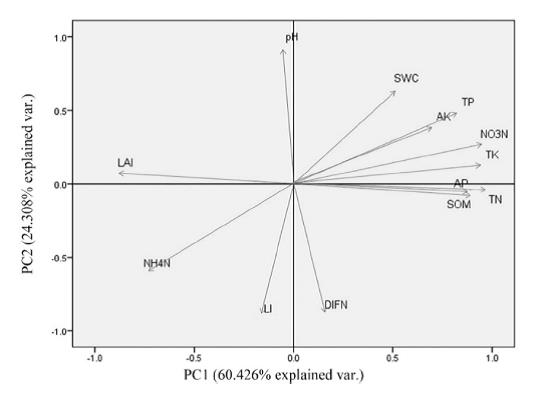
中科院華南植物園生態與環境科學研究中心碩士生許展慧在任海研究員指導下,與廣西植物研究所韋霄研究員和廣西弄崗國家級自然保護區合作,系統研究了龍州金花茶的分布、生境特征、種群結構、致瀕危因子和綜合保護策略,研究發現:龍州金花茶分布范圍狹窄,僅分布在廣西弄崗國家級自然保護區及邊緣,生境為喀斯特天然次生林;野外僅有3個龍州金花茶居群,共58株;龍州金花茶種群結構不合理,表現為幼年個體缺少。影響龍州金花茶生存受威脅的主要生物因素是同一層次、生態位相似的海南大風子(Hydnocarpus hainanensis)和米揚噎(Streblus tonkinensis)的競爭,影響龍州金花茶生存的環境因子有土壤N、P含量和環境光強(圖2)。其他因素還包括人為盜采、物種自身繁殖障礙。根據該物種的現狀,按IUCN標準,應將其調整為極度瀕危等級。
基于研究結果,科研人員提出了龍州金花茶的綜合保護策略:擴大弄崗國家級自然保護區的范圍,將保護區邊緣的野生個體納入保護;標記所有野外個體,定期巡查,清理競爭植物,實現有效的就地保護;把所有野外個體取枝條進行嫁接或扦插,建立全遺傳多樣性資源圃以近地保護遺傳多樣性;在氣候相似的植物園建立更多遷地保護種群;在3個原生居群中分別引種其他居群的個體建立增強回歸群體以增加遺傳多樣性;在弄崗國家級自然保護區以外建立能自我更新的異地回歸種群,以應對氣候變化對該物種存活的可能影響;進一步優化繁殖技術,栽培時營造近似原生境的土壤條件和光強環境;促進龍州金花茶商品化生產,以減少野生植株的生存壓力。弄崗國家級自然保護區已按此策略優化了保護行動。龍州金花茶的綜合保護策略對喀斯特貧困地區其他珍稀瀕危植物保護和可持續利用有參考價值。
相關研究結果已近期發表在國際學術期刊Global Ecology and Conservation(《全球生態與保護》)上。論文鏈接:https://www.sciencedirect.com/science/article/pii/S2351989421001359

圖1. 龍州金花茶的花(a);芽(b);果實(c);植株(d)

圖2. 影響龍州金花茶豐度的環境因子主成分分析結果