




廣域溫壓條件下硫化氫-水體系模擬研究取得新進展
近日,深海極端環境模擬研究室蔣磊研究團隊,報道了廣域溫壓條件下H2S–H2O體系模擬研究的實驗結果,并與西北大學孫睿教授合作優化了相關的熱力學計算模型。
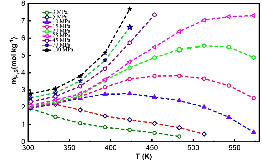
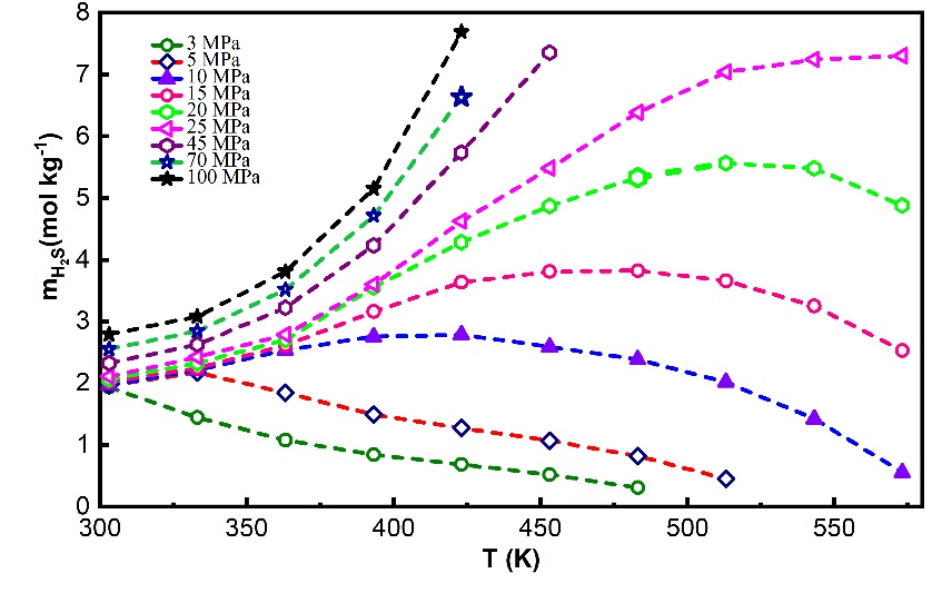
1)基于拉曼光譜和高壓可視反應腔實驗平臺,建立了硫化氫在純水中濃度的定量分析方法,系統測定了廣域溫壓范圍內(303.15<T<573.15 K, P<100 MPa) 硫化氫在純水中的溶解度,拓展了前人的數據范圍;以新獲取的實驗數據為基礎,優化了硫化氫溶解度的計算模型。

此項研究在線發表于《Chemical Geology》(Jiang L*, Xin Y, Chou I-M*, Sun R. 2020, Raman spectroscopic measurements of H2S solubility in pure water over a wide range of pressure and temperature and a refined thermodynamic model)
全文鏈接:https://www.sciencedirect.com/science/article/pii/S0009254120303557
2)利用高壓可視反應腔以及光學顯微鏡實驗平臺,系統分析了H2S水合物的形成條件,獲取了水合物-溶液-硫化氫氣體相、水合物-溶液-硫化氫液體相的相平衡數據,擴展了前人實驗的溫壓范圍(272.4 <T< 307.7 K, 0.0986<P< 66.128 MPa)。在此基礎上,利用本文的實驗數據,優化了現有熱力學模型的計算精度,為水合物相關的地質應用提供了可靠的實驗數據和計算模型。

此項研究在線發表于《Journal of Chemical & Engineering Data》(Sun J, Xin Y, Chou I-M, Sun R, and Jiang L*. 2020, Hydrate stability in the H2S–H2O system–visual observations and measurements in a high-pressure optical cell and thermodynamic models)