華南植物園魯顯楷研究員團隊在《全球變化生物學》發表最新研究,通過長達20年的野外氮添加實驗,首次揭示長期高氮沉降下熱帶原始林土壤微生物代謝限制的垂直分異規律,即長期氮沉降會加劇表層土壤的磷限制,但緩解其碳限制;而深層土壤則呈現相反的響應模式。
土壤微生物在生物地球化學循環和生態系統穩定中發揮著重要作用。近半個世紀以來,大氣氮沉降升高顯著加速了陸地氮循環過程,并改變了底物元素化學計量比,從而導致土壤微生物代謝限制發生變化。傳統觀點認為,熱帶森林相對 “富氮貧磷”的特性使其對氮沉降異常敏感,氮沉降會進一步加劇磷素限制。然而,目前尚不清楚在高度風化的熱帶森林中,長期氮素輸入如何影響不同深度的土壤微生物代謝限制。
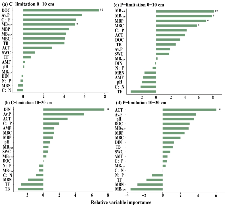
研究團隊于2002年在廣東鼎湖山國家級自然保護區原始林(季風常綠闊葉林)建立了長期連續氮添加實驗樣地(4種梯度:0-150 kg N ha?1 year?1),探討了長達20年的高氮素輸入如何影響不同土壤剖面中土壤微生物代謝限制特征。研究發現,與傳統觀點不同,長期氮添加對磷限制的影響具有深度選擇性:表層土壤的磷限制增強,而深層土壤則未受影響。土壤微生物可通過下調微生物群落豐度來適應磷限制,其中放線菌的相對豐度可指示磷限制狀態。與此同時,長期氮添加通過增加表層土壤溶解性有機碳(DOC)含量緩解了微生物的碳限制,但加劇了深層土壤微生物碳限制。
該研究首次證實長期氮沉降對熱帶森林土壤微生物代謝限制的影響具有深度選擇性,并且修正了"氮沉降普遍加劇磷限制"的單一結論。考慮到微生物?碳-磷代謝的"深度分異"現象,研究特別提出未來地球系統模型需納入深度依賴的微生物代謝限制參數,特別是在預測熱帶森林碳匯功能時。這一成果為預測全球氮沉降加劇背景下熱帶亞熱帶森林生態系統功能變化提供了關鍵科學依據。
相關研究成果以“Divergent microbial metabolic limitations across soil depths after two decades of high nitrogen inputs in a primary tropical forest”為題發表在全球變化研究領域權威期刊Global Change Biology(《全球變化生物學》)上。中國科學院華南植物園碩士研究生龐朝龍為論文第一作者,碩士生張澤和為共同第一作者,魯顯楷研究員為通訊作者。該研究得到廣東省重點領域研發計劃、國家自然科學基金和廣東省科技計劃等項目資助。文章鏈接:https://doi.org/10.1111/gcb.70440

圖1. 長期氮添加對不同土層微生物代謝碳限制(a,Vector length)和磷限制(b,Vector angle)特征的影響

圖2. 不同土層環境因子對微生物代謝碳限制和磷限制影響的相對重要性

圖3. 氮添加對表層和深層土壤微生物代謝限制的主要影響途徑
附件下載:

