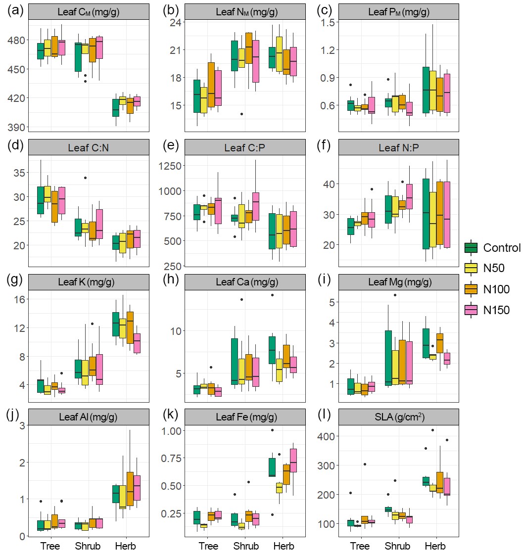
隨著全球氮沉降持續加劇,其對氮限制區域生態系統的影響已有廣泛研究和報道;然而,長期氮輸入如何塑造氮飽和森林中不同生活型植物的生態策略仍不清楚。中國科學院華南植物園鼎湖山站研究團隊依托廣東鼎湖山長期氮添加實驗平臺(0、50、100、150 kg N ha?1 yr?1),系統分析了18年氮添加后氮飽和季風常綠闊葉中喬木、灌木、草本共8種植物的15項葉片和22項細根功能性狀響應。研究發現,長期氮添加對喬木、灌木和草本葉片(圖1)和細根功能性狀(圖2)均無顯著影響。葉片經濟譜比根經濟譜更能有效區分植物生活型;然而,長期氮添加沒有改變植物的養分獲取策略(圖3)。長期氮添加下植物葉片和細根性狀的表型可塑性均保持穩定,然而高氮添加導致草本葉片性狀的整合性上升和細根性狀的整合性下降。
該研究揭示了長期氮添加下氮飽和森林中植物功能性狀可能趨于穩定,為基于植物功能性狀的模型預測長期氮沉降對生態系統功能的影響提供了重要的數據支撐,同時也完善了氮限制生態系統中“性狀-環境”耦合關聯的傳統認知。相關研究以“Plant morphological and physiological traits are stable in a nitrogen-saturated tropical forest after 18-year nitrogen additions”為題于近期發表在國際學術期刊Plant and Soil(《植物和土壤》)。中國科學院華南植物園博士后余光燦為論文第一作者,鄭棉海研究員為通訊作者。該研究獲廣東省杰出青年基金等項目資助。論文鏈接:https://doi.org/10.1007/s11104-025-07484-6

圖1.長期氮添加對喬木、灌木和草本植物葉片功能性狀的影響

圖2.長期氮添加對喬木、灌木和草本植物細根功能性狀的影響

圖3.氮添加處理下15個葉片(a)和22個細根性狀(c)的主成分分析。(b)和(d)分別是葉片和細根功能性狀的貢獻值
附件下載:

