輕烴(C6–C13)是原油的重要組成部分,具有沸點低、易揮發的特點。輕烴包含豐富的地球化學信息,被廣泛用作生物標志物分析的重要補充。傳統的液態烴收集法會導致大量的輕烴蒸發損失,導致模擬實驗產物與地質條件下的凝析油/輕質油之間存在較大的差別。但這種蒸發損失對輕烴生成潛力及輕烴參數的影響有多大并不清楚。
近年來在我國塔里木盆地和準噶爾盆地相繼發現了多個大型輕質油/凝析油藏,這些油藏的輕烴含量很高。在這兩個典型的疊合型盆地中,由于多期構造活動的影響,使得早期形成的油氣藏經歷了多期次的調整改造,例如早期生物降解作用和后期熱成熟作用的疊加(疊加次生改造),這在塔北和塔中地區比較普遍。早期發生的生物降解作用往往會顯著改變原油的化學組成和分子結構,從而影響原油后期熱裂解生成輕烴的時機和潛力。目前,國內外對不同類型的次生改造作用相疊加的研究很少,對于輕烴在此過程中受到的影響的研究工作更少,這大大限制了對我國疊合盆地油氣資源特點的認識,也制約了深層油氣資源評價和油氣勘探的部署。
針對上述問題,中國科學院廣州地球化學研究所有機地球化學國家重點實驗室博士生黃越義在導師廖玉宏研究員的指導下,首先改進了黃金管封閉體系熱解實驗后液態烴收集方法,即采用液氮直接冷凍收集液態烴,并與傳統的液態烴收集法做了對比。結果表明,傳統液態烴收集法比液氮直接冷凍收集法少收集了10% ~ 75%的輕烴(圖1a),這顯著低估原油熱裂解生成輕烴的潛力。此外,傳統液態烴收集法測定的輕烴最大產率對應的成熟度為Easy%Ro = 1.08,而液氮直接冷凍收集法測定的輕烴最大產率對應的成熟度為Easy%Ro = 1.67(圖1a),更接近地質條件下輕質油和凝析油中輕烴占比較高時的成熟度,因而更為合理。相比于傳統液態烴收集法,液氮直接冷凍方法不僅能有效抑制輕烴的蒸發損失,還能較好地揭示輕烴的原始/實際地球化學信息,是一種更好的熱解油收集方法。
研究團隊還采用黃金管封閉體系熱模擬實驗,將四種同源且具有不同生物降解程度的原油人工熟化到不同的成熟度,以此來模擬油藏經歷的早期生物降解作用與后期熱成熟作用相疊加時的復雜次生改造作用。結合液氮直接冷凍收集法,分析了疊加次生改造作用對原油中的輕烴產率及特征的影響。
圖1 (a)不同成熟度下兩種收集方法獲得的C6–C13輕烴總產率;(b)四種原油熱解過程中C6–C13輕烴總產率隨成熟度(Easy%Ro)的變化。
在疊加次生改造影響下,生物降解作用顯著降低了原油裂解生成輕烴的潛力(圖1b)。輕度-中度降解油、重度降解油和嚴重降解油的輕烴產率峰值分別僅占未降解油的55.6%、48.7%和40.2%。這主要是生物降解過程中微生物對原油中富氫的鏈烷烴的選擇性去除,顯著降低了原油熱解生成輕烴的潛力。因此,對于發生了早期生物降解作用+晚期熱成熟作用的疊合盆地而言,疊加次生改造可能導致基于正常油熱解的數值模型計算得到的輕質油/凝析油的資源潛力被大大高估。
在疊加次生改造影響下,基于輕烴比值的油-油對比指標可能被嚴重改造而失效。例如常用的P3 vs (P2 + N2)和P2 vs N2/P3等油-油對比圖因受疊加次生改造作用影響(圖2a和b)而導致油-油對比出現嚴重偏差,但(2-MH + 2,3-DMP) vs (3-MH + 2,4-DMP)圖仍然能適用于油-油對比(圖2c)。
圖2 基于輕烴比值的油-油對比指標。
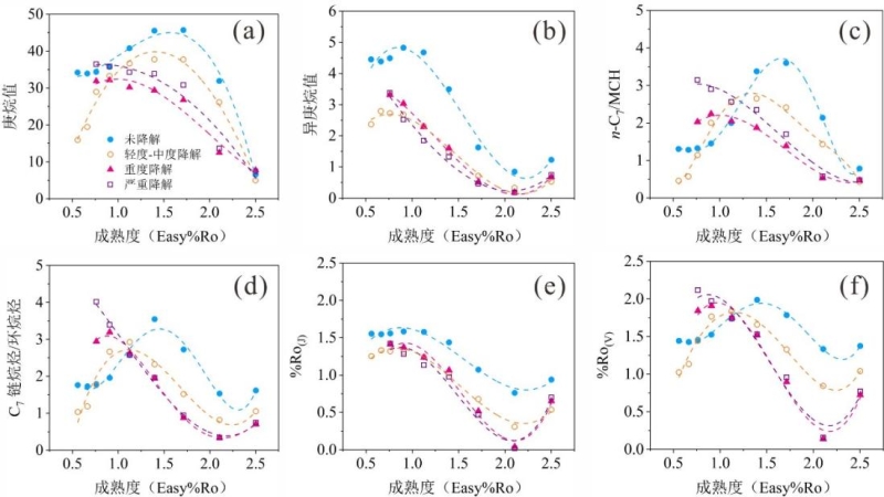
在疊加次生改造影響下,基于輕烴比值的成熟度指標可能被明顯修改而失真。例如,生物降解油中與成熟度相關的大部分輕烴參數比未降解油在更低的成熟度(Easy%Ro)時達到最大值,并且普遍低于未降解油的相應輕烴參數(圖3),這可能導致原油成熟度評估出現明顯偏差。
圖3 基于輕烴比值的成熟度指標。
在疊加次生改造影響下,用于識別次生改造類型的異庚烷值vs庚烷值圖和甲苯/n-C7 vs n-C7/甲基環己烷圖,盡管在輕度-中度生物降解階段仍然適用,在重度和嚴重生物降解階段不再適用于識別次生改造類型(圖4)。因此,這可能導致基于輕烴參數的次生改造作用類型判識出現偏差。此外,當Easy%Ro在0.5–1.4%范圍內時,生物降解油熱解產生的大多數輕烴產物與未降解油熱解產生的相應輕烴產物的δ13C值存在一定的差別,主要原因是原生輕烴和次生輕烴的δ13C值存在差別,且在不同成熟階段這兩種來源的輕烴的占比有所不同,導致這種碳同位素分餾效應隨著成熟度的升高而逐漸減弱。
圖4 識別次生改造作用類型的輕烴參數圖版
綜上所述,疊加次生改造過程對輕烴生成潛力、輕烴指標以及輕烴的δ13C值均有顯著影響。因此,在疊合盆地開展的輕烴資源評估以及基于輕烴特征的油-油對比和成熟度評估,應該結合油氣藏的次生改造改造過程來做出判斷。
本研究受到中國科學院A類先導科技專項(XDA14010103)和國家自然科學基金面上項目(41872156)的資助。相關研究成果近期發表在國際期刊Organic Geochemistry上。
論文信息:
1. Huang, Y.(黃越義), Liao, Y.*(廖玉宏), Pan, Y.(潘銀華), Hsu, C.S.(許強), Wang, Y.(王云鵬), Peng, P.a.(彭平安), 2022. Improved light hydrocarbons collection method for the pyrolysis of crude oil in gold tube closed system experiments. Organic Geochemistry. 168, 104432. DOI: 10.1016/j.orggeochem.2022.104432
2. Huang, Y.(黃越義), Liao, Y. *(廖玉宏), Xu, T.(許濤), Wang, Y.(王云鵬), Peng, P. (彭平安), 2023. Characteristics of light hydrocarbons under the superimposed influence of biodegradation and subsequent thermal maturation. Organic Geochemistry 177, 104557. DOI: 10.1016/j.orggeochem.2023.104557
附件下載:

