




華南植物園在氮添加和降雨量增加對樹木生長影響的研究獲進展
大氣氮沉降和降雨量增加會影響陸地生態系統的固碳作用,然而這兩個同時存在的全球變化因子如何影響樹木的重要碳匯過程—樹木木質部生長(獨立或相互作用)尚不清楚。
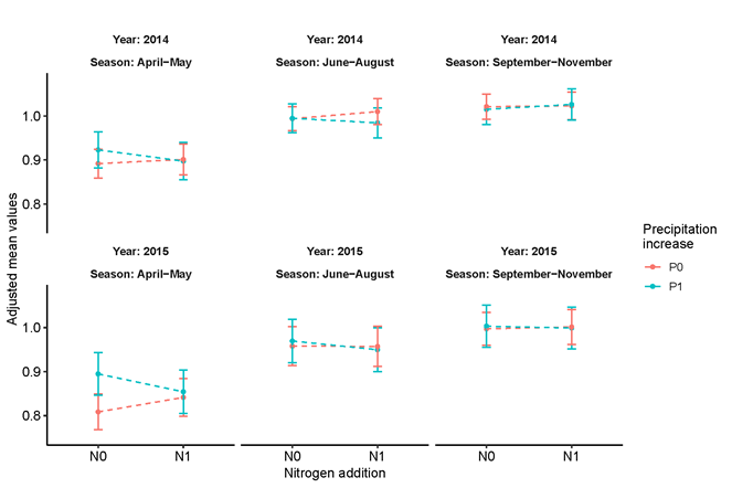
中科院華南植物園生態中心博士后余碧云在黃建國研究員的指導下,在河南雞公山林冠模擬氮沉降和增雨實驗平臺開展實驗,采用微樹芯采樣技術于2014-2015年生長季每周監測林冠施氮(CN, 25 kg N ha-1yr-1)、林冠增雨(CW, 增加當地年降雨量的30%)以及同時林冠施氮和增雨(CNW)處理下雞公山優勢物種麻櫟(Quercus acutissima Caruth.)的木質部生長,并與對照(C)進行對比。研究發現,在2015年降雨量較少的生長季早期,降雨量增加顯著促進麻櫟木質部的生長。氮增加對木質部生長量、木質部生長速率、早材導管直徑以及早材導管潛在導水率(Ks)均無顯著影響,但氮添加處理(CN)下的Ks與木質部年生長量呈顯著負相關。2015年生長季早期,在未添加氮時,降雨量增加下的木質部生長量顯著高于無降雨量增加時的木質部生長量;而在氮添加時,降雨量增加下的木質部生長量與無降雨量增加時的木質部生長量無顯著差異(圖1、表1)。結果表明,在干燥的生長季早期,木質部生長量對降雨量增加的響應大于對氮增加的響應;降雨量增加對木質部生長的正效應可以通過氮資源的增加抵消。本研究同時表明,氮添加和降雨量增加對樹木生長過程的影響是復雜的,因不同生長時期和當地氣候條件而異。
相關研究結果已近期發表在SCI林學Top期刊Tree physiology(《樹木生理學》)(IF = 4.196)上(DOI: 10.1093/treephys/tpab152)。該研究得到國家自然科學基金(青年基金和面上)的資助。

圖1. 氮添加和降雨量增加的季節交互效應。
調整平均值為使用R包“lsmean”從混合效應模型中計算得到的最小二乘平均值。
誤差棒代表95%置信區間。N0:未添加氮;N1:氮添加;P0:無降雨量增加;P1:降雨量增加。

表1. 氮添加和降雨量增加交互效應的事后分析。
注:N0:未添加氮;N1:氮添加;P0:無降雨量增加;P1:降雨量增加;S1:4–5月; S2:6–8月;S3:9–11月。