




廣州地化所揭示活化和氧化黑碳對壬基酚的吸附和解吸機理
壬基酚(NP)是一種內分泌干擾物,對人類構成致癌威脅。目前,在世界范圍內的各種有機廢水中都檢測到NP。因此,去除污染廢水中的NP成為環境污染和污水凈化的一個重要問題。黑碳(BCs)因其在控制污染物遷移方面的潛在作用而受到廣泛關注。目前,用ZnCl2和KOH活化BCs的報道很多,但系統比較其表面性能、化學結構性能、微孔性能和吸附/解吸性能差異的研究較少。此外,鮮少有報道將活化處理和氧化處理相結合。前期研究表明了活化和氧化BCs對平面化合物(菲,Phen)吸附和解吸中的微孔變形機制,然而,對于活化和氧化BCs在非平面化合物(壬基酚,NP)上的吸附和解吸行為的認識仍然不足。此外,可提取有機質(EOM)和多環芳烴(PAHs)對BCs吸附和解吸的影響還有待進一步研究。
廣州地化所胡淑捷博士研究生和冉勇研究員等人,利用化學活化劑(KOH、ZnCl2)、氧化劑(H2O2、NaClO)和有機溶劑分別從頁巖干酪根中提取活化黑碳(Z-BCs/P-BCs)、氧化黑碳(ZHP\ZSH\PHP\PSH)和有機溶劑萃取的黑碳樣品(E-Z-BCs/E-P-BCs);并測定了它們的表面性質(水接觸角、表面酸/堿官能團、陽離子交換能力CEC)、結構性質(高級固態13C NMR)、微孔性質(CO2吸附)和介孔性質(N2吸附),并對熱解過程中產生的多環芳烴(PAHs)以及可提取有機質(EOM)進行了量化。
實驗表明,不同溫度下 BCs 的EOM和 PAHs含量均隨熱解溫度的升高先升高后降低。與KOH活化的BCs相比,ZnCl2活化的BCs具有較高的堿性表面官能團、CEC值、芳香碳含量、微孔體積和微孔尺寸,但酸性表面官能團較低。通過1H–13C遠程偶極去相估計了稠環芳香環的大小,提出了300–500℃之間的BCs的結構模型。
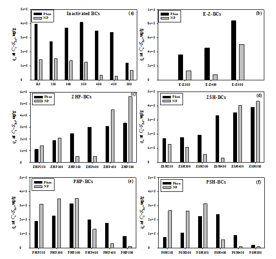
此外,研究人員探討了BCs對壬基酚和菲的吸附和解吸機理。結果表明,可提取有機物的去除暴露了BCs的微孔結構,有利于吸附菲,但不利于分子吸附尺寸較大的壬基酚。而且,氧化處理BCs對壬基酚的吸附比對菲的吸附更有效(圖1)。另外,氫鍵在對壬基酚吸附過程中有重要作用;BCs的微孔結構對吸附不可逆性有顯著影響;BCs對壬基酚的解吸滯后機制還與氫鍵效應和微孔變形效應有關。
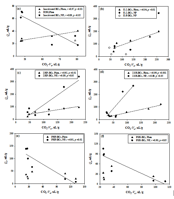
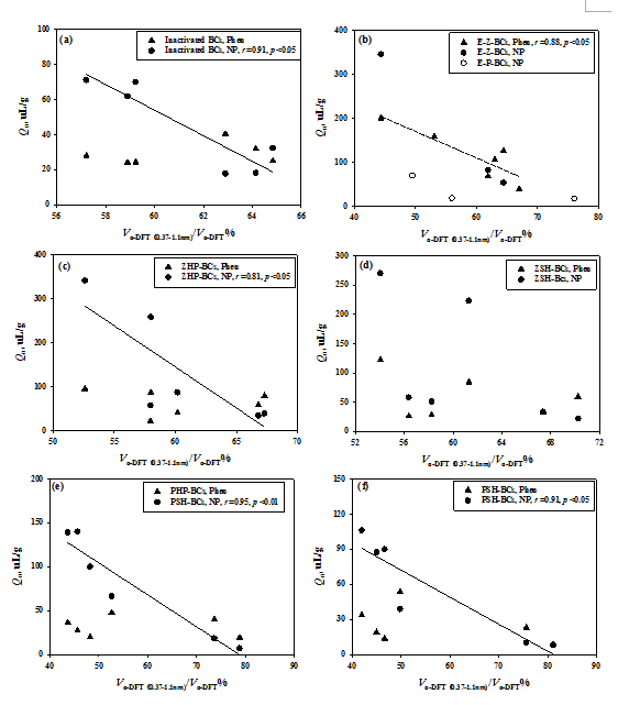
為進一步探討,研究人員利用DR吸附模型估計BCs對Phen和NP的吸附量(Qo)。結果表明,NP的吸附過程存在明顯的分子篩作用;空間位阻的原因使得分子較大的壬基酚不能進入到較小的微孔。黑炭對具有平面分子結構的菲的吸附要比非平面的壬基酚吸附的強,供試BCsde 微孔填充和微孔尺寸分布對壬基酚的吸附起著至關重要的作用。

圖1: BCs 對菲和壬基酚吸附的 qe值 (來源:Elsevier)

圖2: BCs 對菲和壬基酚吸附的 Qo值與微孔體積的關系 (來源:Elsevier)

圖3: BCs 對菲和壬基酚吸附的 Qo值與Vo-DFT-(0.37-1.1nm)/Vo-DFT %的系 (來源:Elsevier)
原文鏈接:https://www.sciencedirect.com/science/article/pii/S0048969720377226