




廣州地化所在揭示風化過程中Mo同位素分餾機理取得進展
準確限定陸源輸入到海洋的Mo同位素組成是運用Mo同位素準確反演地質歷史時期全球海洋氧化和缺氧事件的重要前提。厘清Mo同位素在地殼巖石風化過程中分餾機制和尋找風化產物中偏輕Mo同位素主要長期穩定儲庫是限定河流輸入到海洋中Mo同位素通量的主要途徑。然而,目前關于Mo同位素在巖石化學風化過程中的具體分餾機制仍然不清楚,同時,風化產物中偏輕的δ98Mo的長期穩定儲庫仍未找到。因此,解決以上科學問題對于限定陸源輸入到海洋的Mo同位素組成通量和完善Mo同位素示蹤功能具有重要的意義。
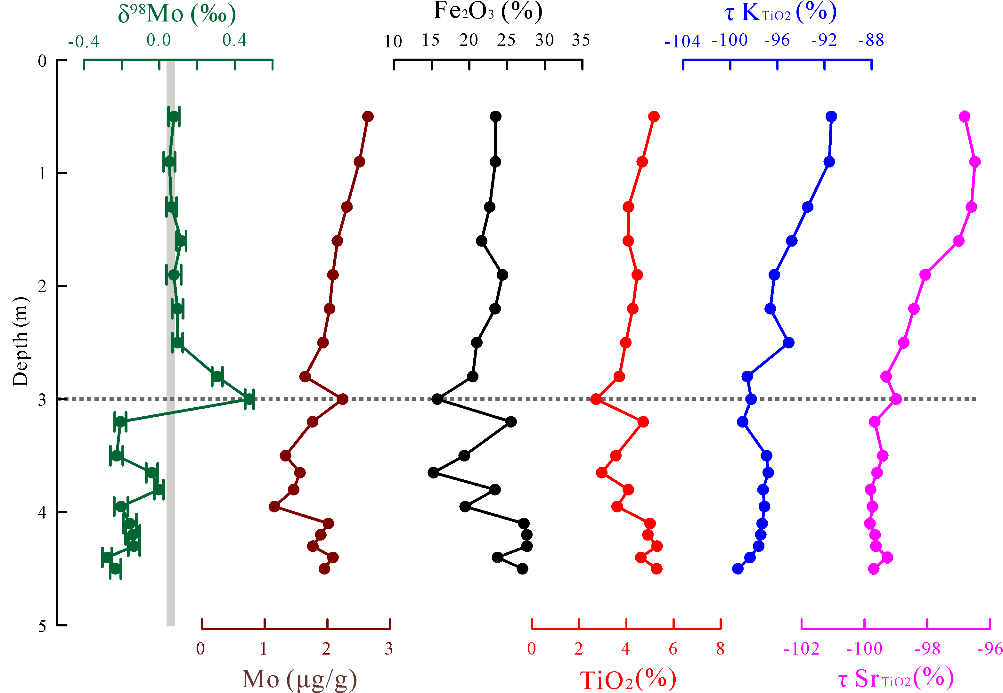
最近,中國科學院廣州地球化學研究所穩定同位素地球化學學科組王志兵副研究員及合作者調查了中國海南玄武巖風化剖面全巖δ98Mo組成變化特征,以及不同相態(如Fe-Mn氧化物態、殘渣相態等)和母巖單礦物(鈦鐵礦、赤鐵礦等)δ98Mo組成。全巖結果顯示,δ98Mo組成在風化剖面三個階段呈現不同特征,即剖面上部和中部具有偏重于基巖,而下部偏輕基巖。在風化剖面上部和中部的δ98Mo組成主要受雨水輸入和氧化還原條件控制,δ98Mo組成較基巖偏重;剖面下部主要受控于淋濾作用影響,即偏重的δ98Mo組成被優先淋濾到水溶液中,使得殘留部分具有偏輕的δ98Mo。化學提取實驗結果進一步表明,全巖中具有偏輕δ98Mo的組份主要富集在殘渣相態中的Fe-Ti氧化物(如鈦鐵礦)中,而這些Fe-Ti氧化物主要繼承于玄武質母巖。由于Fe-Ti氧化物(如鈦鐵礦)具有很強的抗風化性,因此其有可能是地球表生系統中輕Mo同位素組份長期穩定的儲庫。此外,通過玄武巖和花崗巖化學風化過程中Mo同位素分餾程度的差異,發現相對于花崗巖風化過程中較大的Mo同位素分餾,玄武巖風化過程中Mo同位素的分餾比較小,這種差異可能是由兩種巖石中主要Mo的賦存礦物的不同而引起的。
該研究在國際上率先發現了地球表生系統中偏輕Mo同位素組成長期穩定的儲庫,即Fe-Ti氧化物(如鈦鐵礦),和不同巖石類型(花崗巖和玄武巖)風化過程中Mo同位素分餾的差異,對深入了解化學風化過程中Mo同位素分餾機制和地球表生過程Mo同位素循環具有重要的意義。
該研究成果近期發表于國際地球化學權威期刊《Geochimica et Cosmochimica Acta》。該項研究獲得了國家自然科學基金、廣東省基礎與應用基礎研究基金重大項目、南方海洋科學與工程廣東省實驗室(廣州)人才團隊引進重大專項和國家重點研發計劃等聯合資助。
論文信息: Wang, Zhibing*, Ma, Jinlong*, Li, Jie, Zeng Ti, Zhang, Zhuoying, He Xinyue, Zhang Le, Wei,Gangjian. 2020. Effect of Fe–Ti oxides on Mo isotopic variations in lateritic weathering profiles of basalt. Geochimica et Cosmochimica Acta, 286:380-403.
論文鏈接:https://www.sciencedirect.com/science/article/pii/S0016703720304609?dgcid=rss_sd_all。

圖1.左邊為中國海南島地質圖和風化剖面位置;右邊為文昌玄武巖風化剖面柱狀圖。
圖2.文昌玄武巖風化剖面中δ98Mo組成和相關元素含量隨深度變化特征。

圖3.風化剖面中不同相態(如Fe-Mn氧化物態、殘渣相態等)Mo相對比例和δ98Mo組成特征。