




碳源輸入方式改變對土壤生物群落結構與功能影響研究取得新進展
土壤有機碳主要來自植物的地上凋落物和地下根系輸入。植物碳分配方式的改變會顯著影響土壤有機碳的積累,進而影響土壤生物群落的結構與功能。但是科研人員對植物地上和地下碳輸入對土壤有機碳積累的相對貢獻及其對土壤生物群落的潛在影響的了解非常有限。
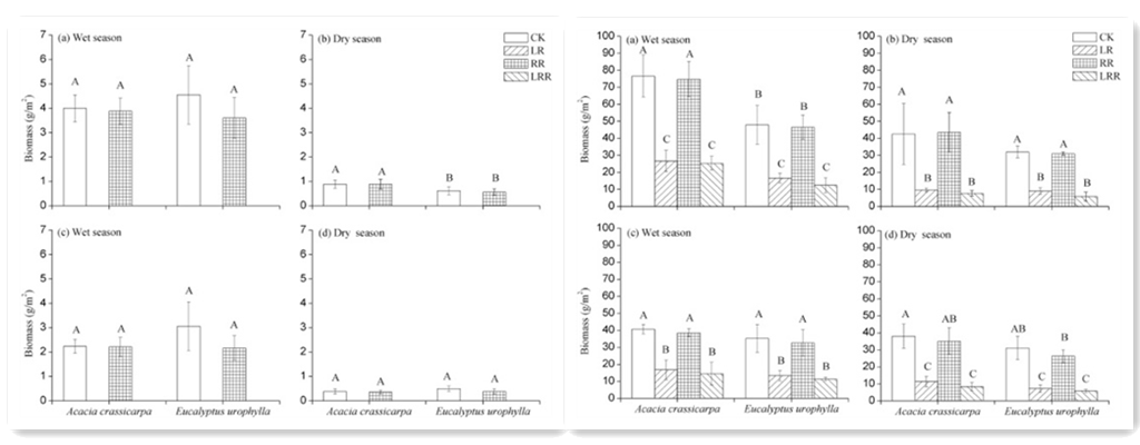
中科院華南植物園恢復生態學團隊(PI:劉占鋒研究員)基于凋落物和根系去除野外控制實驗平臺,以南亞熱帶人工林(尾葉桉林和厚莢相思林)為研究對象,研究了長期凋落物和根系去除對土壤有機碳庫和土壤生物群落的影響。研究發現:(1)持續去除凋落物(6年)顯著降低了表層土壤(0-10cm)的有機碳含量,但是根系去除對土壤有機碳的效應不明顯;(2)凋落物去除顯著降低了表棲類蚯蚓(Amynthas sp.)和內棲類蚯蚓(Pontoscolex corethrurus)的密度和生物量,但是根系去除對兩類蚯蚓影響不顯著。研究結果表明,凋落物在調控土壤有機碳積累和土壤生物群落結構方面發揮的作用整體上要比根系大。研究結果不僅為揭示凋落物在亞熱帶人工林中生態功能提供了重要的實驗證據,對于人工林的可持續管理也具有重要的實踐指導意義。
相關研究結果已發表在國際土壤學和環境科學主流刊物Soil Biology and Biochemistry(《土壤生物學與生物化學》)和Science of Total Environment(《全環境科學》)上。該研究得到了國家重點研發計劃、國家自然科學基金、廣州市科技計劃項目資助。
論文鏈接:http://dx.doi.org/10.1016/j.soilbio.2020.107777
http://dx.doi.org/10.1016/j.scitotenv.2019.135341

圖1. 凋落物和根系去除對土壤有機碳的影響

圖2. 凋落物和根系去除對表棲類(左)和內棲類(右)蚯蚓生物量的影響