




研究揭示氣候變暖條件下鄱陽湖沉積物中多溴二苯醚、多環芳烴和藻類有機質的歷史變化關系
近期,中國科學院廣州地球化學研究所博士生萬難難和研究員冉勇等人對氣候變暖條件下鄱陽湖沉積物中多溴二苯醚、多環芳烴和藻類有機質的歷史變化關系進行了研究。研究表明,鄱陽湖沉積柱中Σ17PBDEs和Σ15PAHs的濃度分別為1.13至4.64ng/g和341至744ng/g,TOC,S2和HI的值從底部到表層呈現增加的趨勢,PAHs來源分析結果表明主要來源是燃燒源。HI與五年氣溫的移動平均值呈顯著正相關,表明氣候變暖促進了鄱陽湖藻類的增加。此外,PBDEs,PAHs和年平均溫度與S2和HI的相關性分析表明,BDE-202,BDE-201,BDE-183和BDE-154與S2和HI呈負相關,而BDE-85和BDE-47與S2和HI呈正相關。PAHs與各個參數之間無明顯相關關系。論文發表在近期的國際雜志HUMAN AND ECOLOGICAL RISK ASSESSMENT: AN INTERNATIONAL JOURNAL上。

圖1.鄱陽湖沉積柱中BDE同系物(包括BDE-28、-47、-99、-100、-209)的含量
多環芳烴(PAHs)和多溴聯苯醚(PBDEs)等持久性有機污染物普遍存在于水、土壤和沉積物中,由于其毒性、持久性和生物累積潛力,對生物體和人類構成巨大風險。在中國和其他國家的典型電子廢物場所周圍的燃燒殘渣、土壤、沉積物、水、植物、水生生物甚至人血清中都發現了PBDEs。排放的PBDEs易于在不同的環境區中遷移,進入食物鏈,并在各種營養生物中積累。PAHs是廣泛存在于環境中的污染物,主要來自人類活動引起的不完全燃燒,如化石燃料的燃燒以及石油和石油產品的直接釋放。由于長江和流域水流的長期影響,鄱陽湖形成了獨特的生態水文過程。在全球變暖的影響下,其對湖泊沉積物中典型有機污染物和藻類有機質沉積過程的影響對水體生態環境具有重要意義。

圖2.鄱陽湖沉積柱的有機質參數和溫度參數(a):TOC;b):TN;c):S2;d):HI;e):T)

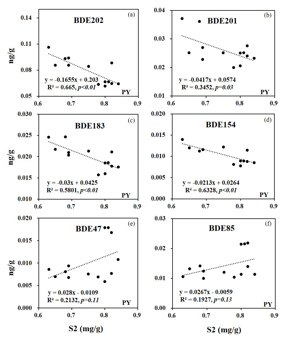
圖3.鄱陽湖沉積柱中BDE同系物(包括BDE-202、-201、-183、154、-47、-85)與S2的相關性
中國科學院廣州地球化學研究所博士生萬難難和研究員冉勇等人采集了鄱陽湖沉積柱樣品,以2厘米為間隔進行取樣分析。應用GC-MS測定了樣品中17種PBDEs和15種PAHs的含量。樣品的有機質參數則是通過Rock-Eval 6 (Vinci Technologies, France)測定。另外,還對樣品進行了210Pb定年分析,溫度數據來源于中國氣象數據網中波陽監測點的數據。結果表明,近30年來,鄱陽湖的PBDEs和PAHs以不同的方式分布,PAHs的含量從底層到頂層都高于PBDEs,PAHs的來源是生物質燃燒。S2和PBDEs單體之間的相關性表明藻類有機質與有機污染物的影響有明顯的差異性:BDE-47和BDE-85呈正相關;BDE-154,BDE-183,BDE-201和BDE-202呈負相關。多環芳烴S2和HI沒有顯著相關性,這可能與沉積物的擾動有關。通過對比年均溫以及5年滑動平均氣溫與S2和HI的值,結果顯示溫度升高,對后者都顯現出正相關關系,揭示了氣候變暖會促進藻類生長,進一步驗證了中國不同區域水體環境中生物泵在藻類有機質及其有機污染物積累方面的作用。